Co to jest liczba urojona?


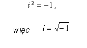
Najkrócej rzecz ujmując, liczba urojona podniesiona do kwadratu daje liczbę ujemną. Zupełnie inaczej jest z doskonale znanymi nam z życia codziennego liczbami rzeczywistymi – kwadrat każdej z nich jest dodatni. W zbiorze liczb rzeczywistych nie wszystkie działania są wykonalne, np. nie da się obliczyć pierwiastka kwadratowego liczby ujemnej. Z tego powodu matematycy stworzyli pojęcie liczby urojonej, która umożliwia wykonywanie tego typu obliczeń. Podstawą zbioru liczb urojonych jest jedność urojona oznaczana literą i (od łacińskiego wyrazu imaginarius – urojony). Symbol ten został wprowadzony przez słynnego niemieckiego matematyka Carla Friedricha Gaussa (1777 – 1855), nazywanego księciem matematyków (princeps mathemathicorum). Z definicji liczby urojonej wynika, że jedność urojona musi spełniać następujący warunek:


Liczbę i uważa się za jednostkę nowego zbioru liczb. Na jej podstawie tworzy się nowe liczby, mnożąc i przez dowolne liczby rzeczywiste:



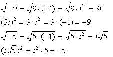
Dzięki liczbom urojonym można wyznaczyć pierwiastek kwadratowy liczby ujemnej:
                                                






W praktyce liczby urojone wykorzystuje się do rozwiązywania równań kwadratowych, które nie mają rozwiązań w zbiorze liczb rzeczywistych:


  

Brak komentarzy:

Prześlij komentarz